Another pathway of pyruvate utilization in a propionate producing bacteria is found in Selenomonas species.

The overall pathway showing the production of propionate from hexose sugars is shown below.


 

This pathway has a number of interesting features which we analyse below.

To understand the overall pathway you should recognise the following six points:


A more detailed examination of the breakdown of hexose leading to fumarate production is shown in the scheme below.
 


 
 

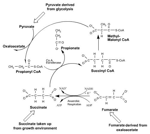
Fumarate is now used to produce propionate in a pathway where we see succinate and ATP production and NAD regeneration catalysed by the enzyme fumarate reductase.

It's worth noting also here that the production of propionate from propionyl CoA (exergonic cleavage of a thiol ester) is geared to the production of succinyl CoA from succinate. If you think back to the TCA cycle you'll remember that succinate production from succinyl CoA was an exergonic reaction allowing for the synthesis of GTP. In Selenomonas the reaction goes the other way so it would be endergonic, requiring the input of free energy,  but the use of ATP is spared by having the endergonic formation of the thiol ester geared to the exergonic cleavage of the propionyl CoA  thiol ester.
 

 
Finally we see how the carboxylation of pyruvate is coupled to the decarboxylation of methyl malonyl CoA, also saving on the use of ATP.
 

The last detail, bears re-emphasis; the exergonic decarboxylation reaction drives the endergonic carboxylation reaction and saves on the use of ATP.  In aerobic organisms ATP has to be used to provide the free energy needed to bring about pyruvate carboxylation.
 

You can see from this example that the propionate producers rely on the cellulase activity of the cellulolytic bacteria which produce glucose as a substrate for their own growth but also release glucose for use by other species.

This demonstrates the complexity of the interrelations of the bacteria present in the host rumen.

Another example of a propionate producer using succinate taken up from the growth environment is seen with Veillonella parvula.